Value function iterations with transition matrix

 

We consider the following case with transition matrix

 

where

 

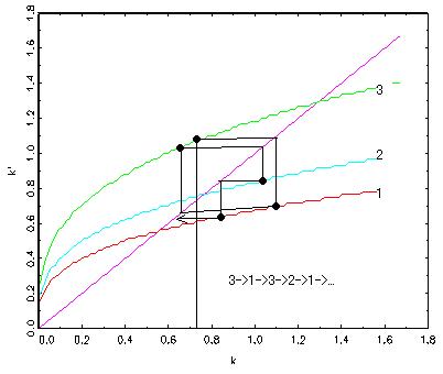
When the state changes from 3 to 1, 3, 2, 1, and so on for example,

where states are determined randomly from transition matrix.

 

 

The corresponding movement of capital